Από το Φροντιστήριο Ορόσημο
Βατά ήταν τα θέματα στα Μαθηματικά (Άλγεβρα) στα οποία διαγωνίστηκαν σήμερα, Πέμπτη 18 Ιουνίου 2020, οι υποψήφιοι των ΕΠΑΛ στις πανελλαδικές εξετάσεις.
Ειδικότερα, σύμφωνα με το Φροντιστήριο Ορόσημο:
ΘΕΜΑ Α: ΘΕΩΡΙΑ ΑΝΑΜΕΝΩΜΕΝΗ ΧΩΡΙΣ ΙΔΙΑΤΕΡΕΣ ΔΥΣΚΟΛΙΕΣ.
ΘΕΜΑ Β: ΑΣΚΗΣΗ ΣΤΑΤΙΣΤΙΚΗΣ ΧΩΡΙΣ ΙΔΙΑΙΤΕΡΑ ΠΡΟΒΛΗΜΑΤΑ.
ΘΕΜΑ Γ: ΑΣΚΗΣΗ ΣΥΝΑΡΤΗΣΕΩΝ ΧΩΡΙΣ ΙΔΙΑΤΕΡΑ ΠΡΟΒΛΗΜΑΤΑ.
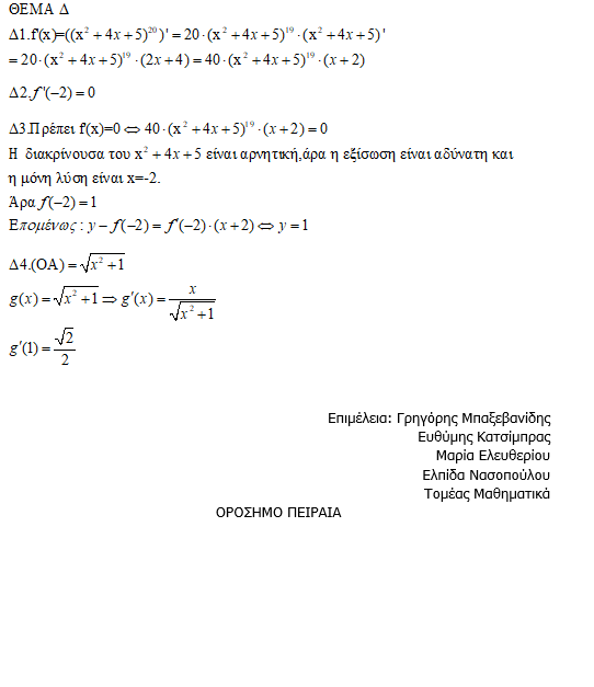
ΘΕΜΑ Δ: Δ1 Δ3 ΑΝΑΜΕΝΩΜΕΝΑ,ΒΑΤΑ ΚΑΙ Δ2 Δ4 ΙΔΙΑΙΤΕΡΗΣ ΠΡΟΣΟΧΗΣ.



ΟΡΟΣΗΜΟ ΠΕΙΡΑΙΑ
Επόμενος «σταθμός» για τους υποψηφίους των ΕΠΑΛ θα είναι το ερχόμενο Σάββατο, 20-6-2020, οπότε και θα διαγωνιστούν στα μαθήματα Στοιχεία Μηχανών, Ανατομία-Φυσιολογία ΙΙ, ΑΟΘ και Ιστορία Σύγχρονης Τέχνης.










